Research Article | Volume 11, Issue 6, November, 2023

The effect of salinity and tofu whey wastewater on the growth kinetics, biomass, and primary metabolites in Euglena sp.

Ahmad Saifun Naser Angga Puja Asiandu Brilian Ryan Sadewo Nila Tsurayya Agusta Samodra Putra Koko Iwan Agus Kurniawan Eko Agus Suyono   

Open Access   

Published:  Oct 25, 2023

DOI: 10.7324/JABB.2023.114931
Abstract

The nutritional content of tofu whey wastewater (TWW) has the potential as a culture medium for microalgae Euglena sp. through salinity adjustment. We considered combinations of TWW consisting of 0% (CM), 75% (MI), and 100% (L) with combination salinity levels consisting of 0 g/L (CM/MI0/L0), 2 g/L (CM2/MI2/L2), and 4 g/L (CM4/MI4/ L4). The analyses were carried out on the cell density, growth kinetics (logic and Gompertz equation), biomass, total lipid (Bligh and Dyar method), total carbohydrate (phenol-sulfuric acid method), total protein (Bradford method), and pigments. Based on the study, the combination with highest cell density, biomass, total lipid, total carbohydrate, and total protein was obtained in L4 (14.375 ×105 ± 0.375 cells/mL), MI2 (2.77 ± 0.118 mg/mL), L4 (0.81 ± 0.020 mg/mL), MI (0.48 ± 0.014 mg/mL), and MI4 (0.14 ± 0.005 mg/mL), respectively. Moreover, the combinations with the highest chlorophyll A, chlorophyll B, and carotenoid were 10.74 ± 0.14 mg/L (L4), 2.53 ± 0.07 mg/L (L4), and 2.57 ± 0.003 mg/L (L4), respectively. The addition of TWW combined with specific salinity enhanced the growth and biomass composition of Euglena sp. Furthermore, TWW could be an effective and inexpensive alternative medium in Euglena sp. for biorefinery activity.


Keyword:     Euglena sp. Logic and Gompertz equation primary metabolite salinity Tofu Whey Wastewater


Citation:

Naser AS, Asiandu AP, Sadewo BR, Tsurayya N, Putra AS, Kurniawan KIA, Suyono EA. The effect of salinity and tofu whey wastewater on the growth kinetics, biomass, and primary metabolites in Euglena sp. J App Biol Biotech. 2023;11(6):124-132. http://doi.org/10.7324/JABB.2023.114931

Copyright: Author(s). This is an Open Access article distributed under the terms of the Creative Commons Attribution-NonCommercial-ShareAlike license.

HTML Full Text

1. INTRODUCTION

Euglena sp. has a high potential for the utilization of biomass and primary metabolites. Microalgae have seen use as feed ingredients due to their antioxidant, neuroprotective, anti-cancer, and anti-inflammatory properties in addition to having a high nutrient content [1]. Studies have shown how Euglena affects human health. For instance, an oral dose of Euglena has been demonstrated to considerably enhance glycemic control and reduce fat buildup in the liver and abdominal regions [2]. A recent study revealed the possibility of creating unique, Euglena-based meals with anti-inflammatory and antioxidant properties rich in carotenoids, PUFAs, proteins, and other nutrients [3] and Euglena sp. is rich in active carbohydrate enzymes, complex carbohydrate synthesis, and fatty acids [4].

Food products containing Euglena extracts, such as yogurt, cookies, snacks, and beverages, are becoming increasingly common due to firms like Euglena Co. Ltd.’s successful marketing campaigns. Therefore, Euglena’s application in aquaculture is prospective because Euglena biomass in powder form improved innate immunity, disease resistance, oxidative balance, and metabolic condition in fish and bivalves [5]. While microalgae (including Euglena) are easy to cultivate, scaling that cultivation for large biorefineries is not economically feasible. Therefore, tofu whey wastewater (TWW) has the potential to replace Euglena cultivation medium and reduce production costs.

Euglena sp. cells have a high tolerance for unfavorable environments [6]. Euglena gracilis was reported to have resistance to various environmental factors such as temperatures, oxygen concentrations, salinity, and pH, against contaminant agents and tolerance to various osmolarities of medium. The Euglena cell can survive in a medium containing salinity of around 15 g/L [7]. According to Mulyadi [8], microalgae can absorb the excess minerals in TWW and utilize them as a source of nutrition for growth and development. The advantages of using TWW as a microalgae cultivation medium are its abundance, nutrient density, safety, and cost. TWW has low production costs because it can be obtained for free from tofu producers. TWW has a complete nutritional content compared to Cramer-Myers medium (CM medium), which is generally used in Euglena cultivation. TWW is enriched with the various micronutrient and macronutrient such as carbohydrates, proteins, and fats, as well as other nutrients such as P, N, Ca, K, Fe, Mg [9], ammonia (NH3), methane (CH4), oxygen (O2), hydrogen sulfide (H2S), carbon dioxide, and nitrogen (N2) [10]. However, most tofu processing industries (both small and large scale) dispose of tofu liquid waste directly into water sources, resulting in an unpleasant odor in the river and damaged river biota [11] because those high concentration of organic compound [12]. According to [13] The impact of discharge of tofu liquid waste includes such as reduced oxygen levels in water that caused rapid growth microbes, increased nutritional levels such as phosphorus and nitrogen, which can cause excessive algae growth (algal bloom) in the river. This can interfere with the balance of the ecosystem. To deal environmental pollution caused by tofu liquid waste, microalgae have a prominent role in environmental phytoremediation [14]. The development of the tofu industry in Indonesia has experienced rapid development. Tofu production grew from a small scale to a large factory scale. The process of producing tofu also produces TWW, which can harm the environment if not properly controlled [15].

[16] reported that TWW has a potential as a cultivation medium for microalgae due to its low toxicity and ability to accumulate nutrients. Chlorella pyrenoidosa cultivated in 60% TWW in autotrophic condition that obtained biomass productivity of 0.28 ± day-1 and the final biomass of C. pyrenoidosa was obtained 2.01 ± 0.12 g/L [17] reported that using 30% of tofu liquid waste concentration in the medium can produce around 9.850.000 cells/mL than the control medium (0% tofu liquid waste) around 7400,000 cells/mL in Chlorella spp. As another reported in the study of Salim [18], cultivating Scenedesmus in 20% TWW medium produced a peak cell density of 8,996.125 cells/mL. The Scenedesmus cells can perform photosynthesis faster due to the fulfillment of nutrition in the medium. C. pyrenoidosa cultivated in TWW achieved 2 into 2.3 g/L biomass and the productivity 0.64 g/L/day [19]. Syaichurrozi and Jayanudin [20] reported that the tofu liquid waste at concentrations of 0 v/v%, 2 v/v%, 4 v/v%, 6 v/v%, and 8 v/v% had a nitrogen amount of 0 mg, 3.59 mg, 7.189 mg, 10.78 mg, and 14.37 mg and in 6 v/v %, a high protein amount of 66,62% in Spirulina platensis. E. gracilis is one of various microalgae species that have highest tolerance to organic pollution which can get rid of 93% total nitrogen and 92% organic carbon [21,22]. Euglena sp. can grow in a variety of media because Euglena has capability to use up simultaneously different carbon source under distinct growth condition [23].

One of the advantages effects of using salinity stress in microalgae cultivation medium is increased lipid production, increased carbohydrate production [24-26], and capable of limiting the growth of undesirable microorganism [25]. The addition of 1.0 M NaCl concentration to the modified NORO medium at the end of the logarithmic growth phase resulted in increase in the lipid content of cells by 70.6 ± 3.9% compared to the lipid content without NaCl addition, which was 63.5 ± 1.0% [27]. Usage of high salinity has a potential to inhibit cell growth and change the morphology of the cells due to the osmotic pressure of the media and cells. Therefore, the use of salinity as a stressor must be determined specifically for the microalgae to be cultivated [25]. [28] reported that NaCl concentrations of 200 mM, 300 mM, and 400 mM could increase carbohydrate content by 20.39 ± 0.21%, 21.62 ± 0.16%, and 23.36 ± 1.10%, respectively, in S. platensis. The addition of 20% NaCl (10 mM) in Zarrouk’s medium can increase the carbohydrate content by 50% in S. platensis [29].

Based on the aforementioned background, tofu is a food that is commonly consumed in Indonesia, yet the tofu industry, both small and large scale, still generates liquid waste. This waste is often directly disposed of into rivers or other bodies of water without any treatment, resulting in an unpleasant odor and threatening the survival of aquatic biota. The liquid waste from tofu processing contains micronutrients and macronutrients such as fat, protein, and other nutrients including Mg, K, nitrogen, Fe, and others, which have the potential to serve as a medium to promote microalgae growth, specifically Euglena sp. Using tofu liquid waste as a cultivation medium, the production cost and activities in the biorefinery can be reduced. Therefore, this study aims to investigate the effect of a combination of tofu liquid waste and salinity on the growth of biomass, primary metabolites, and pigments in Euglena sp.


2. MATERIALS AND METHODS

2.1. Microalgae Strain and Inoculum

Euglena sp. was obtained from the culture collection faculty of biology, UGM. Euglena sp. was cultivated in CM medium under a 24/0-h light/dark cycle for 1 week. After that, the inoculum could be used following experiments. The CM medium composition includes the following: 1000 mg/L (NH4) 2HPO4, 1000 mg/L KH2PO4, 200 mg/L MgSO4.7H2O, 20 mg/L CaCl2.2H2O, 3 mg/L FeSO4.7H2O, 1.8 mg/L MnCl2.4H2O, 1.5 mg/L CoSO4.7H2O, 0.4 mg/L ZnSO4.7 H2O, 0.2 mg/L Na2MoO4.2 H2O, 0.02 mg/L CuSO4.5H2O, 0.0005 mg/L Vitamin B12, and 0.1 mg/L Thiamine, and 1 L of distilled water.

2.2. Preparation of CM and TWW

In this study, TWW was obtained from a local producer of tofu at the first production session on December 7, 2021, in Sleman, Yogyakarta Province of Indonesia. First, TWW was filtered using a filter paper (Whatman No.41). After that, the filtered TWW was mixed with CM medium at the percentages specified in Table 1. NaCl was added at 0, 2, and 4 g/L both to CM medium, TWW medium, or mixed medium after that, the pH was adjusted to 5.5 on all treatment and sterilization medium with an autoclave at 121°C for 20 min, and cooled medium until temperature room [30]. After that added 50 mL of Euglena sp. inoculum in 450 mL medium both to CM medium, mixed medium, or TWW medium.

Table 1: Percentage of tofu whey wastewater with combined salinity as medium cultivated in Euglena sp.

TWW concentrationVariant of salinity (NaCl)

0 g/L2 g/L4 g/L
CM (0% v/v)CMOCM2CM4
MI (75% v/v)MIOMI2MI4
LO (100% v/v)LOL2L4

TWW: Tofu whey wastewater, CM: Cramer-Myers.

2.3. Determination of Growth Euglena sp.

The determination of cell growth rate was measured by a hemocytometer (Neubauer Improved Assistant), and the monitoring of cell density was done by a microscope (Olympus CX22LED) with optilab l301. The specific growth rate was calculated using equations 1 and 2 [31].

Where μ is the specific growth rate, t2 and t1 are time points 1 and 2, Nt and N0 are the density at time points 1 and 2, respectively.

2.4. Determination of Growth Kinetics Modeling

Gompertz and Logistic models were used in the growth modeling of Euglena sp. [32,33]. The Gompertz model was calculated using equations 3 and 4:

Where X is cell density, Xmax is the max cell density, X0 is initial cells density, SSR is Sum Square Residual and SST is Sum Square Total, rm is maximum cell production, and tL is lag time.

The logistic model was calculated with equations 5 and 6:

Where μmax is the maximum specific growth rate.

2.5. Determination of Specific Biomass Productivity

10 mL of sample was centrifuged at 3300 for 15 min. After that, the water was separated from the precipitate and dried at 30–50°C for 12 h or until the weight became constant. The biomass of Euglena sp. was calculated using equation 8.

The biomass productivity was calculated using equation 8.

When the Ax and A0 are max and initial biomass, Tx and T0 are time of max biomass and time of initial biomass, respectively.

2.6. Measurement of Lipid

Lipid was calculated as reported by the Bligh and Dyar method [34]. Cell pellet and supernatant were collected by centrifugation (4000 rpm, 10°C, 15 min). Supernatant was discharged and the pellet was re-suspended in methanol/chloroform (2:1; v/v) and homogenized with vortex. Chloroform and aquadest (1:1; v/v) were added, homogenized with vortex, and centrifuged for 15 min (4000 rpm). The bottom layer was taken by micropipette and dried for 12 h in oven. Total lipid was calculated using equation 9 [35].

The lipid content (%) and lipid productivity ware calculated using equations 10 and 11 [36].

When bl, Bm, and Pr are wight of lipid, weight of biomass, and biomass productivity, respectively.

2.7. Measurement of Protein

The measurement of protein is based on the Bradford method [37] with modification. The cell pellet was collected by centrifugation (3300 rpm, 10 min). The pellet was washed using distilled water and then centrifugated 3300 rpm for 10 min., after which 167 μL of phosphate buffer saline was added and centrifuged for another 15 min (10000 rpm, 4°C). The supernatant was taken, put in a microplate, and added to the Bradford solution. The red dye will turn blue when it binds to the protein. Allow color to develop for at least 10 min before reading in the absorbance at 593 nm with ELISAA READER 3300×. The standard curve in this study used BSA. The protein content (%) and protein productivity were calculated using equations 12 and 13 [36].

Where bp, Bm, and Pp are weight of protein, weight of biomass, and biomass productivity, respectively.

2.8. Measurement of Carbohydrate

The carbohydrate content was quantified using phenol-sulfuric acid methods as previously described [38]. The carbohydrate content and carbohydrate productivity were calculated using equations 14 and 15 [36].

Where bk, Bm, and Pk are weight of carbohydrate, weight of biomass, and biomass productivity, respectively.

2.9. Measurement of Pigment

The measurement of pigment is based on the study by method [31] where 10 mL of sample was put in 15 mL conical tube, then centrifuged (3300 rpm, 15 min). The pellet was washed with distilled water and then centrifugated (6000 rpm, 15 min). Pellets were soaked in 10 mL of methanol, wrapped in aluminum foil, and placed in a water bath (70°C, 10 min), homogenized with a vortex, and centrifuged (6000 rpm, 10 min). The supernatant was taken and transferred to a spectrophotometer cuvette and the absorbance was calculated at wavelengths of 470 λ, 646 λ, and 663 λ. The pigment of Euglena sp. was calculated using equations 16, 17, and 18.

Where chl a and chl b are chlorophyll a and chlorophyll b.

2.10. Statistical Analysis

All the tests were carried out in triplicate and presented as mean ± standard error. The significance of data was analyzed by Friedman’s test and Friedman’s 2-way ANOVA (IBM® SPSS® 26.0.0.0) by ranks (P < 0.05) to determine the pairwise comparisons.


3. RESULTS

3.1. Growth and Biomass on Euglena sp.

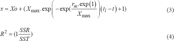
Based on Figure 1a, the highest cell density of Euglena sp. in the CM medium (9.667 ± 0.118 cells/mL) occurred with no added NaCl (CM0 condition) then CM2 treatment (7.958 ± 0.236 cells/mL) and CM4 (7.118 ± 0.724 cells/mL). This study yielded the same results as the previously reported [24] study that Chlorella emersonii obtained the highest density in the control treatment because it was sensitive to salinity then, in MI medium [Figure 1b] was obtained in MI2 (17.625 ± 0.125), MI4 (14.188 ± 0.688), and MIO (13.938 ± 0.063), while the density on LO medium [Figure 1c] was achieved L4 (14.375 ± 0.375), L2 (13.438 ± 0.563), and LO (12.750 ± 0.750). The highest specific growth rate [Table 2] in this study was obtained on MIO treatment (0.345 ± 0.067/day), L4 treatment (0.290 ± 0.027/day), and CM2 treatment (0.285 ± 0.047/day).

Figure 1: The growth curve of Euglena sp. with the different percentage and salinity of tofu whey wastewater (a) 0%, (b) 75%, and (c) 100%. Each point shows the mean ± standard deviation (n = 3) (P < 0.05).



[Click here to view]

Table 2: Total content and productivity of lipid, carbohydrates, and protein with various tofu whey wastewater and salinity percentage in medium.

Culture modeTreatmentSpecific grow rate (/day)Content (%)

LipidCarbohydrateProtein
AutotrophicCMO (0 g/L)0.245±0.02420.6±2.922.1±4.210±0.79
CM2 (2 g/L)0.285±0.04733.3±4.725.1±1.410.8±1.40
CM4 (4 g/L)0.241±0.04334.5±2.437.3±1.612.2±1.60
MIO (0 g/L)0.345±0.06718.3±6.4636.2±2.1022.3±2.13
MI2 (2 g/L)0.333±0.04423.3±2.5942.5±0.2025.2±3.85
MI4 (4 g/L)0.273±0.05228.5±4.0342.8±4.3023.2±3.20
L0 (0 g/L)0.285±0.04426.8±5.3532.63±3.2420.88±5
L2 (2 g/L)0.288±0.03835.7±1.2345.01±2.8418.13±1.95
L4 (4 g/L)0.290±0.02744.4±0.7034.43±3.6122.56±2.27

Each measurement shows the mean±SD (n=3) (P<0.05). SD: Standard deviation.

In Figure 2, the treatments with the highest cell density in each TWW composition group (CM, MI2, and L4) were modeled using both logistic (to determine specific growth rates (μmax)) and Gompertz (to determine cell production [rm]) models. The growth rate parameter in both the logistic and Gompertz models has the same interpretation, which is the rate of growth. However, in the logistic model, the maximum capacity parameter describes the maximum growth limit, while in the Gompertz model, the scale parameter represents the limiting factor [33]. In the TWW 0% (CM), 75% (MI2), and 100% (L4) with the logistic model, the maximum specific growth rates (μmax) acquired were 0.789/day (R2 = 0.986), 0.854/day (R2 = 0.972), and 1.663/day (R2 = 0.893), respectively. While in the Gompertz modeling, the obtained cell production (rm) of TWW 0% (CM), 75% (MI2), and 100% (L4) was 1.89 × 105 (R2 = 0.991), 4.20 × 105 (R2 = 0.967), and 3.20 × 105 (R2 = 0.986), respectively. The obtained lag time (TL) of TWW 0% (CM), 75% (MI2), and 100% (L4) Gompertz model was 1.812/day, 2.672/day, and 0.829/day, respectively. According to the Gompertz model, the concentration 100% of TWW (L4) has the optimum medium for the fastest adaptation period compared to the other treatments. Therefore, according to Figure 2, the concentration of TWW 100% (L4) medium with Gompertz model has the shortest lag phase than other media conditions and increased the adaptation of periods of Euglena sp.

Figure 2: The growth modeling curve of Euglena sp. with different salinity and tofu whey wastewater (TWW) composition. (a) TWW 0% with salinity 0 g/L (CM). (b) TWW 75% with salinity 2 g/L (MI4). (c) TWW 100% with salinity 4 g/L (L4). Logistic (left) and Gompertz (right).



[Click here to view]

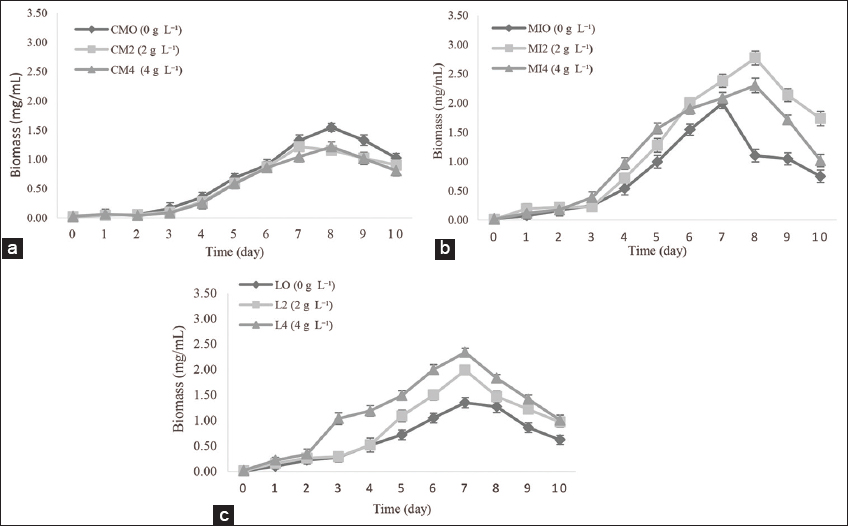
The periodic culture biomass of Euglena sp., based on biomass curves [Figure 3a], was highest on CMO (1.55 ± 0.065 mg/mL), CM2 (1.22 ± 0.078 mg/mL), and CM4 (1.21 ± 0.082 mg/mL), on the MI treatment in [Figure 3b], the biomass obtained to MI2 (2.77 ± 0.118 mg/mL), MI4 (2.30 ± 0.123 mg/mL), and MIO (2.00 ± 0.093 mg/mL), while in the LO treatment in figure 3c was obtained L4 (2.34 ± 0.079 mg/mL), L2 (2.99 ± 0.087 mg/mL), and LO (1.35 ± 0.101 mg/mL). The total productivity of biomass can be seen in [Figure 4]. There is a difference in biomass between MI and LO medium. The right concentration was achieved when cells utilized the organic content in TWW optimally. There is a difference in biomass between MI and LO medium. The right concentration was achieved when cells utilized the organic content in TWW optimally.

Figure 3: The biomass curve of Euglena sp. with the different percentage and salinity of tofu whey wastewater (a) 0%, (b) 75%, and (c) 100%. Each point shows the mean ± standard deviation (n = 3) (P < 0.05).



[Click here to view]
Figure 4: Total productivity of biomass, lipid, carbohydrates, and protein with various tofu whey wastewater and salinity percentage in medium. Each measurement shows the mean ± standard deviation (n = 3) (P < 0.05).



[Click here to view]

3.2. Lipid, Carbohydrate, Protein, and Pigmen

For lipid production [Figure 5], the highest lipid production in each TWW group occurred in CM4 (0.35 ± 0.012), MI4 (0.46 ± 0.015), and L4 (0.81 ± 0.020). The media containing high salinity (CM4, MI4, and L4) yielded higher total lipids compared to media with lower salinities.

Figure 5: Total primary metabolites of Euglena sp. with mixed tofu whey wastewater and salinity medium in various percentages. Each bar shows the mean ± standard deviation (n = 3) (P < 0.05).



[Click here to view]

According to Figure 5, the total carbohydrates in the CM treatment were found in the CM4 (0.37 ± 0.037 mg/mL), CM (0.28 ± 0.017 mg/mL), and CM2 (0.23 ± 0.012 mg/mL) treatments. While in the MI and LO treatments, the total carbohydrates were achieved in MI4 (0.48 ± 0.014), MI2 (0.44 ±0.015), MI (0.42 ± 0.008) and L4 (0.39 ± 0.013), L0 (0.33 ± 0.011), and L2 (0.29 ± 0.011), respectively. In the CM treatment, the CM4 obtained the highest carbohydrate concentration due to the role of salinity. [39] reported that one of the ways to enhance carbohydrate and lipid accumulation is cultivated in stress condition. In CM4, the high NaCl concentration (4 g/L) likely caused Euglena’s high carbohydrate production.

As represented on Figure 5 that the CMO (0.13 ± 0.013 mg/mL) treatment exhibits higher total protein than CM4 (0.12 ± 0.016 mg/mL) and CM2 (0.10 ± 0.012 mg/mL) in CM medium. While in the TWW medium, MI4 (0.14 ± 0.05 mg/mL), MI2 (0.13 ± 0.009 mg/mL), MI (0.12 ± 0.009 mg/mL), L4 (0.09 ± 0.006 mg/mL), L2 (0.05 ± 0.007 mg/mL), and LO (0.04 ± 0.004 mg/mL).

According to Figure 6, in the CM medium, CMO produced the highest total chlorophyll A (2.52 ± 0.146) and B (0.34 ± 0.018) concentrations than CM2 chlorophyll A (2.16 ± 0.129) and chlorophyll B (0.25 ± 0.021), and CM4 chlorophyll A (2.121 ± 0.223) and chlorophyll B (0.18 ± 0.018). The high chlorophyll A and B occurred in the death phase when microalgae were at maximum growth. The duration of cultivation affects the amount of chlorophyll A and B levels in Euglena sp. because chlorophyll will increase in line with the increasing cell growth. This is same opinion as Komarawidjaja [40] that the high cell growth will lead to high chlorophyll content in microalgae. In CM medium, the CMO treatment produced high chlorophyll A and chlorophyll B than the CM2 and CM4 treatment, because CM treatment did not get salinity stress so that maximum growth is obtained compared to the CM2 and CM4 treatments. According to the CM2 treatment, the total chlorophyll was obtained at a higher than CM4 due to the CM4 contained higher salinity stress then CM2 medium.

Figure 6: Total chlorophyll A, chlorophyll B, and carotenoids with various tofu whey wastewater and salinity percentage in medium. Each bar shows the mean ± standard deviation (n = 3) (P < 0.05).



[Click here to view]

As shown in Figure 6, CM4 achieved carotenoid concentrations higher than CM2 and CM media (0.56 ± 0.042, 0.37 ± 0.007, and 0.15 ± 0.040 mg/L, respectively), likely due to salinity stress caused by the increased NaCl concentration.

In the MI medium, the highest chlorophyll A and B was obtained in MI2, MI4, and MI medium. The chlorophyll A in 6.32 ± 0.32, 4.94 ± 0.18, and 2.88 ± 0.16 and in chlorophyll B was obtained 1.33 ± 0.01, 1.09 ± 0.13, and 0.93 ± 0.06, respectively. The carotenoid MI4 was obtained higher than MI2 and MIO, which are 0.96 ± 0.04, 0.90 ± 0.02, and 0.67 ± 0.08, respectively, while in LO medium, L4 medium performed the highest chlorophyll A and B than the others treatment. The value of chlorophyll A and B is 10.70 ± 0.14, 8.40 ± 0.52, 5.89 ± 0.32, 2.53 ± 0.07, 2.05 ± 0.14, and 1.91 ± 0.04, respectivelyin L4 in figure 5 was obtained highest carotenoids compared to MI2 and MIO with a value of 2.57 ± 0.002, 2.17 ± 0.002, and 1.74 ± 0.05, respectively. Apriati [41] reports that the addition of 25% of tofu liquid waste yielded a high chlorophyll A (3.53 mg/L) and B (3.72 mg/L) compared to controls (chlorophyll A (0.671 mg/L) and B (0.726 mg/L).


4. DISCUSSION

In the TWW, there are contained organic matters as phosphate and ammonium ions than can use absorbed cells in microalgae. The phosphate was the essential matters that have a function for replication and metabolism cells, while the ammonium has a function for photosynthesis cells [42]. In CM medium, the CMO treatment exhibited the highest growth rate compared to the others treatment (Cm2 and CM4) which can be attributed to the role of salinity. The salinity has the potential to significantly inhibit the growth of microalgae cells, as it affects both morphology and cell growth due to osmotic pressure between the media and cells. Microalgae cells exposed to salinity can undergo several adaptive mechanism, including ions regulation at the cell membrane, the accumulating protective fluid to counteract osmotic pressure, the accumulating of stress proteins, and enhancement of turgor pressure [25].

Based on [24], salinity affects enhanced lipid production by cells that are cultivated under salinity stress. It will affect recovering turgor pressure so that the accumulation will be restrained and impact the release and absorption of ions in the cell membrane. As a result, it will trigger osmosis in the cell and an increase in lipid content. Under stress conditions, cultivated microalgae accumulate lipids as an alternative nutrition to survive. In this study, cultivation was carried out by exposure light (24 h). This has the potential to increase lipid productivity levels in each treatment due to the role of the acetyl CoA carboxylase enzyme, which is both influenced by light and a precursor for lipid formation [43]. According to Takagi and Yosida [27], adding NaCl concentration 0.1 M can produce higher lipid content in cells cultivated amount 67% than with NaCl 0.5 M amount 60% in Dunaliella tertiolecta ATCC 30929.

The combination of salinity and nutrients in the media can alter the metabolism of microalgae by shifting the protein content to energy storage compounds such as carbohydrates [44]. In this study, MI and LO medium were used to evaluate carbohydrate production, with the MI medium showing greater yields than the LO medium. These results suggest that the MI medium achieved the optimal concentration of total wastewater (TWW) compared to the LO medium. This finding is consistent with the study by Syaichurrozi and Jayanudin [20], who reported that the addition of TWW at a concentration of 2 v/v% produced a higher amount of carbohydrates (61.23%) than a concentration of 8 v/v% (56.22%) in S. platensis.

In the protein, the CM medium was carried out like the study of [28] that the protein content in the salinity stress treatment of 200 mM, 300 mM, and 400 mM NaCl was obtained yield under control media in S. platensis. The MI (75% of TWW) medium was carried out like [16] that the addition of 60% TWW concentration can increase protein productivity by 97.2 ± 6.2 mg/L/h in C. pyrenoidosa. In the MI medium, higher protein was obtained than in LO medium. Because TWW medium, especially in LO, contained higher nitrogen than MI medium, while nitrogen was the most important source for increasing protein [45], high nitrogen caused beneficial effects.

In the CM medium, the CM4 treatment showed lower levels of chlorophyll A and B compared to the other treatments (CMO and CM2) due to the effect of salinity. Be and He [25] reported that high salinity can significantly inhibit cell growth. However, in terms of carotenoid content, the CM4 treatment exhibited the highest level compared to the CMO and CM2 treatments. Carotenoids play a protective role by guarding cells against oxidative damage by reactive oxygen species, which can cause enzymatic inactivation and cell death [46]. [47] suggested that carotenoids accumulate in organisms under stress, resulting in the synthesis of carotenoids in the chloroplast. Elloumi et al. [48] reported that under stress conditions (10 g/L NaCl), the accumulation of carotenoids increased relative to the control in Scenedesmus (3295.84 ± 5.750 and 2997.45 ± 2.01 μg/mL, respectively).


5. CONCLUSION

Based on this study, TWW could be used as an alternative medium for the growth of Euglena sp. Since TWW contains some essential nutrients such as N, C, P, Ca, K, and Fe, using it to enrich the growth media could enhance 0the metabolism of microalgae. A TWW: CM medium ratio of 3:1 (v/v) or TWW alone, combined with a specific salinity level (2 g/L and 4 g/L), could produce a higher growth rate, biomass, total lipid, total carbohydrate, total protein, and pigment then the sole CM medium. The higher grow rate obtained in MI2 treatment, biomass in MI2 treatment, total lipid in L4 treatment, total carbohydrate in MI4 treatment, and total protein in MI4 treatment. Our study resulted that TWW can be used to economically replace synthetic commercial media in large-scale cultivation to reduce the production cost in producing biorefinery activities.


6. ACKNOWLEDGEMENT

The manuscript was a part of first author thesis. Authors thank to Universitas Gadjah Mada of Indonesia for facilitating this research.


7. AUTHORS’ CONTRIBUTIONS

All authors made substantial contributions to conception and design, acquisition of data, or analysis and interpretation of data; took part in drafting the article or revising it critically for important intellectual content; agreed to submit to the current journal; gave final approval of the version to be published; and agreed to be accountable for all aspects of the work. All the authors are eligible to be an author as per the International Committee of Medical Journal Editors (ICMJE) requirements/guidelines.


8. FUNDING

There is no funding to report.


9. CONFLICTS OF INTEREST

The authors report no financial or any other conflicts of interest in this work.


10. ETHICAL APPROVALS

This study does not involve experiments on animals or human subjects.


11. DATA AVAILABILITY

All data generated and analyzed are included within this research article.


12. PUBLISHER’S NOTE

This journal remains neutral with regard to jurisdictional claims in published institutional affiliation.

REFERENCES

1.  Singh R, Parihar P, Singh M, Bajguz A, Kumar J, Singh S, et al. Uncovering potential applications of cyanobacteria and algal metabolites in biology, agriculture and medicine:Current status and future prospects. Front Microbiol 2017;8:515. [CrossRef]

2.  Shimada R, Fujita M, Yuasa M, Sawamura H, Watanabe T, Nakashima A, et al. Oral administration of green algae, Euglena gracilis, inhibits hyperglycemia in OLETF rats, a model of spontaneous Type 2 diabetes. Food Funct 2016;7:4655-9. [CrossRef]

3.  Piovan A, Brun P, Peron G, Filippini R, Dall'Acqua S, Caniato R. Euglena gracilis as an alternative source of nutrients. Planta Medica 2016;82:P829. [CrossRef]

4.  Hayashi M, Toda K, Misawa Y, Kitaoka S. Preparation of Euglena gracilis enriched with eicosapentaenoic and docosahexaenoic acids. Aquac Sci 1993;41:169-76.

5.  Bianchi VA, Castro JM, Rocchetta I, Nahabedian DE, Conforti V, Luquet CM. Long-term feeding with Euglena gracilis cells modulates immune responses, oxidative balance and metabolic condition in Diplodon chilensis (Mollusca, Bivalvia, Hyriidae) exposed to living Escherichia coli. Fish Shellfish Immunol 2015;42:367-78. [CrossRef]

6.  Richter PR. Untersuchungen zur Gravitaxis. Germany:Friedrich-Alexander-University Erlangen-Nuremberg;2000.

7.  Richter P, Börnig A, Streb C, Ntefidou M, Lebert M, Häder DP. Effects of increased salinity on gravitaxis in Euglena gracilis. J Plant Physiol 2003;160:651-6. [CrossRef]

8.  Mulyadi A. Growth and absorption of nutrients from the microalgae Dunaliella tertiolecta reared in domestic waste. J Nat 1999;11:65-8.

9.  Wati I. Pengaruh Pemberian Limbah Cair Tahu Terhadap Pertumbuhan Vegetatif Cabai Merah (Capsicum Annuum. L) Secara Hidroponik Dengan Metode Kultur Serabut Kelapa (Doctoral Dissertation, University of Muhammadiyah Malang);2018.

10.  Kaswinarni F. Kajian Teknis Pengolahan Limbah Padat dan Cair Industri Tahu Studi Kasus Industri Tahu Tandang Semarang, Sederhana Kendal dan Gagak Sipat Boyolali (Doctoral Dissertation, Program Pasca Sarjana Universitas Diponegoro);2017.

11.  Rossiana N. Uji Toksisitas Limbah Cair Tahu Sumedang Terhadap Reproduksi Daphnia carinata King. Bandung:Jurusan Biologi Fakultas Matematika dan Ilmu Pengetahuan Alam Universitas Padjadjaran;2006.

12.  Faisal M, Mulana F, Gani A, Daimon H. Physical and chemical properties of wastewater discharged from tofu industries in Banda Aceh city, Indonesia. Res J Pharm Biol Chem Sci 2015;6:1053-8.

13.  Effendi H, Seroja R, Hariyadi S. Response surface method application in tofu production liquid waste treatment. Indones J Chem 2019;19:298-304. [CrossRef]

14.  Olgui'n EJ. Phycoremediation:Key issues for cost-effective nutrient removal processes. Biotechnol Adv 2003;22:81-91. [CrossRef]

15.  Indah LS, Soedarsono P, Hendrarto B. The ability of water hyacinth (Eichhornia sp.), water spinach (Ipomea sp.), and water lettuce (Pistia sp.) in reducing organic matter from tofu industry waste (laboratory-scale). Manag Aquatic Resour J 2014;3:1-6. [CrossRef]

16.  Wang SK, Wang X, Miao J, Tian YT. Tofu whey wastewater is a promising basal medium for microalgae culture. Bioresour Technol 2018;253:79-84. [CrossRef]

17.  Aulia M, Istirokhatun T, Sudarno S. Penyisihan Kadar Cod dan Nitrat Melaluikultivasi Chlorella SP. Dengan Variasi Konsentrasi Limbah Cair Tahu (Doctoral Dissertation, Diponegoro University);2017.

18.  Salim, M. A. Utilization of tofu wastewater to enhance the growth and biodiesel production of Scenedesmus sp. microalgae. Jurnal Istek 2013 7:1.

19.  Hongyang S, Yalei Z, Chunmin Z, Xuefei Z, Jinpeng L. Cultivation of Chlorella pyrenoidosa in soybean processing wastewater. Bioresour Technol 2011;102:9884-90. [CrossRef]

20.  Syaichurrozi I, Jayanudin J. Effect of tofu wastewater addition on the growth and carbohydrate-protein-lipid content of Spirulina platensis. Int J Eng 2017;30:1631-8. [CrossRef]

21.  Molazadeh M, Ahmadzadeh H, Pourianfar HR, Lyon S, Rampelotto PH. The use of microalgae for coupling wastewater treatment with CO2 biofixation. Front Bioeng Biotechnol 2019;7:42. [CrossRef]

22.  Mahapatra DM, Chanakya HN, Ramachandra TV. Euglena sp. as a suitable source of lipids for potential use as biofuel and sustainable wastewater treatment. J Appl Phycol 2013;25:855-65. [CrossRef]

23.  García-García JD, Sanchez-Thomas R, Moreno-Sanchez R. Bio-recovery of nonessential heavy metals by intra-and extracellular mechanisms in free-living microorganisms. Biotechnol Adv 2016;34:859-73. [CrossRef]

24.  Talebi AF, Tabatabaei M, Mohtashami SK, Tohidfar M, Moradi F. Comparative salt stress study on intracellular ion concentration in marine and salt-adapted freshwater strains of microalgae. Notulae Sci Biol 2013;5:309-15. [CrossRef]

25.  Bi Z, He B. Biodiesel from microalgae. In:Jacob-Lopes E, Maroneze MM, Queiroz MI, Zepka LQ, editors. Handbook of Microalgae-Based Processes and Products. United States:Academic Press;2020. 329-71. [CrossRef]

26.  Chu WL. Strategies to enhance production of microalgal biomass and lipids for biofuel feedstock. Eur J Phycol 2017;52:419-37. [CrossRef]

27.  Takagi M, Yoshida T. Effect of salt concentration on intracellular accumulation of lipids and triacylglyceride in marine microalgae Dunaliella cells. J Biosci Bioeng 2006;101:223-6. [CrossRef]

28.  Zaparoli M, Ziemniczak FG, Mantovani L, Costa JA, Colla LM. Cellular stress conditions as a strategy to increase carbohydrate productivity in Spirulina platensis. Bioenergy Res 2020;13:1221-34. [CrossRef]

29.  Margarites AC, Volpato N, Araújo E, Cardoso LG, Bertolin TE, Colla LM, et al. Spirulina platensis is more efficient than Chlorella homosphaera in carbohydrate productivity. Environ Technol 2017;38:2209-16. [CrossRef]

30.  Pavle?i?M, Crni?D, Jurkovi?E, Šantek MI, Rezi?T, Šantek B. Heterotrophic cultivation of Euglena gracilis on chemically pretreated media. Braz J Chem Eng 2018;35:19-26. [CrossRef]

31.  Tan X, Zhu J, Wakisaka M. Effect of protocatechuic acid on Euglena gracilis growth and accumulation of metabolites. Sustainability 2020;12:9158. [CrossRef]

32.  Phukoetphim N, Salakkam A, Laopaiboon P, Laopaiboon L. Kinetic models for batch ethanol production from sweet sorghum juice under normal and high gravity fermentations:Logistic and modified Gompertz models. J Biotechnol 2017;243:69-75. [CrossRef]

33.  Hanief S, Prasakti L, Pradana YS, Cahyono RB, Budiman A. Growth kinetic of Botryococcus braunii microalgae using logistic and Gompertz models. AIP Conf Proceed 2020;2296:020065. [CrossRef]

34.  Bligh EG, Dyer WJ. A rapid method of total lipid extraction and purification. Can J Biochem Physiol 1959;37:911-7. [CrossRef]

35.  Husna F, Rachmawati B, Samudra TT, Pradana YS, Budiman A, Suyono EA. Effectivity of various media for biomass and lipid production of mixed culture of Glagah in open pond. AIP Conf Proceed 2020;2260:040017. [CrossRef]

36.  Tan KM, Kassim MA. Growth, carbohydrate productivity and growth kinetic study of Halochlorella rubescens cultivated under co2-rich conditions. Malays Appl Biol 2020;49:1-1. [CrossRef]

37.  Bradford MM. A rapid and sensitive method for the quantitation of microgram quantities of protein utilizing the principle of protein-dye binding. Anal Biochem 1976;72:248-54. [CrossRef]

38.  Suyono EA, Nopitasari S, Zusron M, Khoirunnisa P, Islami DA, Prabeswara CB. Effect of silica on carbohydrate content of mixed culture Phaeodactylum sp. and Chlorella sp. Biosci Biotechnol Res Asia 2016;13:109-4. [CrossRef]

39.  Pancha I, Chokshi K, Maurya R, Trivedi K, Patidar SK, Ghosh A, et al. Salinity induced oxidative stress enhanced biofuel production potential of microalgae Scenedesmus sp. CCNM 1077. Bioresour Technol 2015;189:341-8. [CrossRef]

40.  Komarawidjaja W. Study on the utilization of solid waste from seaweed processing industry as a culture medium for Chlorella SP. microalgae. J Environ Technol 2016;12:241-50. [CrossRef]

41.  Apriati D. Chlorophyll content of Chlorella pyrenoidosa at various concentrations of tofu wastewater. UNBARA Environ Eng J 2021;6:1-8.

42.  Rizkytata BT, Gumelar MT, Abdullah TH. Industrial tofu wastewater as a cultivation medium of microalgae Chlorella vulgaris. Energy Procedia 2014;47:56-61. [CrossRef]

43.  Widianingsih W, Hartati R, Endrawati H, Yudiati E, Iriani VR. Pengaruh pengurangan konsentrasi nutrien fosfat dan nitrat terhadap kandungan lipid total Nannochloropsis oculata. Ilmu Kelautan Indones J Mar Sci 2011;16:24-9.

44.  Dismukes GC, Carrieri D, Bennette N, Ananyev GM, Posewitz MC. Aquatic phototrophs:Efficient alternatives to land-based crops for biofuels. Curr Opin Biotechnol 2008;19:235-40. [CrossRef]

45.  Uslu L, Içik O, KoçK, Göksan T. The effects of nitrogen deficiencies on the lipid and protein contents of Spirulina platensis. Afr J Biotechnol 2011;10:386-9.

46.  Rodriguez-Amaya DB. Food Carotenoids:Chemistry, Biology and Technology. United States:John Wiley and Sons;2015. [CrossRef]

47.  Patias LD, Fernandes AS, Petry FC, Mercadante AZ, Jacob-Lopes E, Zepka LQ. Carotenoid profile of three microalgae/cyanobacteria species with peroxyl radical scavenger capacity. Food Res Int 2017;100:260-6. [CrossRef]

48.  Elloumi W, Jebali A, Maalej A, Chamkha M, Sayadi S. Effect of mild salinity stress on the growth, fatty acid and carotenoid compositions, and biological activities of the thermal freshwater microalgae Scenedesmus sp. Biomolecules 2020;10:1515. [CrossRef]

Reference

1. Singh R, Parihar P, Singh M, Bajguz A, Kumar J, Singh S, et al. Uncovering potential applications of cyanobacteria and algal metabolites in biology, agriculture and medicine: Current status and future prospects. Front Microbiol 2017;8:515. https://doi.org/10.3389/fmicb.2017.00515

2. Shimada R, Fujita M, Yuasa M, Sawamura H, Watanabe T, Nakashima A, et al. Oral administration of green algae, Euglena gracilis, inhibits hyperglycemia in OLETF rats, a model of spontaneous Type 2 diabetes. Food Funct 2016;7:4655-9. https://doi.org/10.1039/C6FO00606J

3. Piovan A, Brun P, Peron G, Filippini R, Dall'Acqua S, Caniato R. Euglena gracilis as an alternative source of nutrients. Planta Medica 2016;82:P829. https://doi.org/10.1055/s-0036-1596847

4. Hayashi M, Toda K, Misawa Y, Kitaoka S. Preparation of Euglena gracilis enriched with eicosapentaenoic and docosahexaenoic acids. Aquac Sci 1993;41:169-76.

5. Bianchi VA, Castro JM, Rocchetta I, Nahabedian DE, Conforti V, Luquet CM. Long-term feeding with Euglena gracilis cells modulates immune responses, oxidative balance and metabolic condition in Diplodon chilensis (Mollusca, Bivalvia, Hyriidae) exposed to living Escherichia coli. Fish Shellfish Immunol 2015;42:367-78. https://doi.org/10.1016/j.fsi.2014.11.022

6. Richter PR. Untersuchungen zur Gravitaxis. Germany: Friedrich- Alexander-University Erlangen-Nuremberg; 2000.

7. Richter P, Börnig A, Streb C, Ntefidou M, Lebert M, Häder DP. Effects of increased salinity on gravitaxis in Euglena gracilis. J Plant Physiol 2003;160:651-6. https://doi.org/10.1078/0176-1617-00828

8. Mulyadi A. Growth and absorption of nutrients from the microalgae Dunaliella tertiolecta reared in domestic waste. J Nat 1999;11:65-8.

9. Wati I. Pengaruh Pemberian Limbah Cair Tahu Terhadap Pertumbuhan Vegetatif Cabai Merah (Capsicum Annuum. L) Secara Hidroponik Dengan Metode Kultur Serabut Kelapa (Doctoral Dissertation, University of Muhammadiyah Malang); 2018.

10. Kaswinarni F. Kajian Teknis Pengolahan Limbah Padat dan Cair Industri Tahu Studi Kasus Industri Tahu Tandang Semarang, Sederhana Kendal dan Gagak Sipat Boyolali (Doctoral Dissertation, Program Pasca Sarjana Universitas Diponegoro); 2017.

11. Rossiana N. Uji Toksisitas Limbah Cair Tahu Sumedang Terhadap Reproduksi Daphnia carinata King. Bandung: Jurusan Biologi Fakultas Matematika dan Ilmu Pengetahuan Alam Universitas Padjadjaran; 2006.

12. Faisal M, Mulana F, Gani A, Daimon H. Physical and chemical properties of wastewater discharged from tofu industries in Banda Aceh city, Indonesia. Res J Pharm Biol Chem Sci 2015;6:1053-8.

13. Effendi H, Seroja R, Hariyadi S. Response surface method application in tofu production liquid waste treatment. Indones J Chem 2019;19:298-304. https://doi.org/10.22146/ijc.31693

14. Olgu??n EJ. Phycoremediation: Key issues for cost-effective nutrient removal processes. Biotechnol Adv 2003;22:81-91. https://doi.org/10.1016/S0734-9750(03)00130-7

15. Indah LS, Soedarsono P, Hendrarto B. The ability of water hyacinth (Eichhornia sp.), water spinach (Ipomea sp.), and water lettuce (Pistia sp.) in reducing organic matter from tofu industry waste (laboratory-scale). Manag Aquatic Resour J 2014;3:1-6. https://doi.org/10.14710/marj.v3i1.4280

16. Wang SK, Wang X, Miao J, Tian YT. Tofu whey wastewater is a promising basal medium for microalgae culture. Bioresour Technol 2018;253:79-84. https://doi.org/10.1016/j.biortech.2018.01.012

17. Aulia M, Istirokhatun T, Sudarno S. Penyisihan Kadar Cod dan Nitrat Melaluikultivasi Chlorella SP. Dengan Variasi Konsentrasi Limbah Cair Tahu (Doctoral Dissertation, Diponegoro University); 2017.

18. Salim, M. A. Utilization of tofu wastewater to enhance the growth and biodiesel production of Scenedesmus sp. microalgae. Jurnal Istek 2013 7:1.

19. Hongyang S, Yalei Z, Chunmin Z, Xuefei Z, Jinpeng L. Cultivation of Chlorella pyrenoidosa in soybean processing wastewater. Bioresour Technol 2011;102:9884-90. https://doi.org/10.1016/j.biortech.2011.08.016

20. Syaichurrozi I, Jayanudin J. Effect of tofu wastewater addition on the growth and carbohydrate-protein-lipid content of Spirulina platensis. Int J Eng 2017;30:1631-8. https://doi.org/10.5829/ije.2017.30.11b.02

21. Molazadeh M, Ahmadzadeh H, Pourianfar HR, Lyon S, Rampelotto PH. The use of microalgae for coupling wastewater treatment with CO2 biofixation. Front Bioeng Biotechnol 2019;7:42. https://doi.org/10.3389/fbioe.2019.00042

22. Mahapatra DM, Chanakya HN, Ramachandra TV. Euglena sp. as a suitable source of lipids for potential use as biofuel and sustainable wastewater treatment. J Appl Phycol 2013;25:855-65. https://doi.org/10.1007/s10811-013-9979-5

23. García-García JD, Sanchez-Thomas R, Moreno-Sanchez R. Bio-recovery of nonessential heavy metals by intra-and extracellular mechanisms in free-living microorganisms. Biotechnol Adv 2016;34:859-73. https://doi.org/10.1016/j.biotechadv.2016.05.003

24. Talebi AF, Tabatabaei M, Mohtashami SK, Tohidfar M, Moradi F. Comparative salt stress study on intracellular ion concentration in marine and salt-adapted freshwater strains of microalgae. Notulae Sci Biol 2013;5:309-15. https://doi.org/10.15835/nsb539114

25. Bi Z, He B. Biodiesel from microalgae. In: Jacob-Lopes E, Maroneze MM, Queiroz MI, Zepka LQ, editors. Handbook of Microalgae-Based Processes and Products. United States: Academic Press; 2020. p. 329-71. https://doi.org/10.1016/B978-0-12-818536-0.00013-0

26. Chu WL. Strategies to enhance production of microalgal biomass and lipids for biofuel feedstock. Eur J Phycol 2017;52:419-37. https://doi.org/10.1080/09670262.2017.1379100

27. Takagi M, Yoshida T. Effect of salt concentration on intracellular accumulation of lipids and triacylglyceride in marine microalgae Dunaliella cells. J Biosci Bioeng 2006;101:223-6. https://doi.org/10.1263/jbb.101.223

28. Zaparoli M, Ziemniczak FG, Mantovani L, Costa JA, Colla LM. Cellular stress conditions as a strategy to increase carbohydrate productivity in Spirulina platensis. Bioenergy Res 2020;13:1221-34. https://doi.org/10.1007/s12155-020-10133-8

29. Margarites AC, Volpato N, Araújo E, Cardoso LG, Bertolin TE, Colla LM, et al. Spirulina platensis is more efficient than Chlorella homosphaera in carbohydrate productivity. Environ Technol 2017;38:2209-16. https://doi.org/10.1080/09593330.2016.1254685

30. Pavle?i? M, Crni? D, Jurkovi? E, Šantek MI, Rezi? T, Šantek B. Heterotrophic cultivation of Euglena gracilis on chemically pretreated media. Braz J Chem Eng 2018;35:19-26. https://doi.org/10.1590/0104-6632.20180351s2016045

31. Tan X, Zhu J, Wakisaka M. Effect of protocatechuic acid on Euglena gracilis growth and accumulation of metabolites. Sustainability 2020;12:9158. https://doi.org/10.3390/su12219158

32. Phukoetphim N, Salakkam A, Laopaiboon P, Laopaiboon L. Kinetic models for batch ethanol production from sweet sorghum juice under normal and high gravity fermentations: Logistic and modified Gompertz models. J Biotechnol 2017;243:69-75. https://doi.org/10.1016/j.jbiotec.2016.12.012

33. Hanief S, Prasakti L, Pradana YS, Cahyono RB, Budiman A. Growth kinetic of Botryococcus braunii microalgae using logistic and Gompertz models. AIP Conf Proceed 2020;2296:020065. https://doi.org/10.1063/5.0030459

34. Bligh EG, Dyer WJ. A rapid method of total lipid extraction and purification. Can J Biochem Physiol 1959;37:911-7. https://doi.org/10.1139/y59-099

35. Husna F, Rachmawati B, Samudra TT, Pradana YS, Budiman A, Suyono EA. Effectivity of various media for biomass and lipid production of mixed culture of Glagah in open pond. AIP Conf Proceed 2020;2260:040017. https://doi.org/10.1063/5.0016181

36. Tan KM, Kassim MA. Growth, carbohydrate productivity and growth kinetic study of Halochlorella rubescens cultivated under co2-rich conditions. Malays Appl Biol 2020;49:1-1. https://doi.org/10.55230/mabjournal.v49i1.1647

37. Bradford MM. A rapid and sensitive method for the quantitation of microgram quantities of protein utilizing the principle of protein-dye binding. Anal Biochem 1976;72:248-54. https://doi.org/10.1016/0003-2697(76)90527-3

38. Suyono EA, Nopitasari S, Zusron M, Khoirunnisa P, Islami DA, Prabeswara CB. Effect of silica on carbohydrate content of mixed culture Phaeodactylum sp. and Chlorella sp. Biosci Biotechnol Res Asia 2016;13:109-4. https://doi.org/10.13005/bbra/2011

39. Pancha I, Chokshi K, Maurya R, Trivedi K, Patidar SK, Ghosh A, et al. Salinity induced oxidative stress enhanced biofuel production potential of microalgae Scenedesmus sp. CCNM 1077. Bioresour Technol 2015;189:341-8. https://doi.org/10.1016/j.biortech.2015.04.017

40. Komarawidjaja W. Study on the utilization of solid waste from seaweed processing industry as a culture medium for Chlorella SP. microalgae. J Environ Technol 2016;12:241-50. https://doi.org/10.29122/jtl.v12i3.1232

41. Apriati D. Chlorophyll content of Chlorella pyrenoidosa at various concentrations of tofu wastewater. UNBARA Environ Eng J 2021;6:1-8.

42. Rizkytata BT, Gumelar MT, Abdullah TH. Industrial tofu wastewater as a cultivation medium of microalgae Chlorella vulgaris. Energy Procedia 2014;47:56-61. https://doi.org/10.1016/j.egypro.2014.01.196

43. Widianingsih W, Hartati R, Endrawati H, Yudiati E, Iriani VR. Pengaruh pengurangan konsentrasi nutrien fosfat dan nitrat terhadap kandungan lipid total Nannochloropsis oculata. Ilmu Kelautan Indones J Mar Sci 2011;16:24-9.

44. Dismukes GC, Carrieri D, Bennette N, Ananyev GM, Posewitz MC. Aquatic phototrophs: Efficient alternatives to land-based crops for biofuels. Curr Opin Biotechnol 2008;19:235-40. https://doi.org/10.1016/j.copbio.2008.05.007

45. Uslu L, Içik O, Koç K, Göksan T. The effects of nitrogen deficiencies on the lipid and protein contents of Spirulina platensis. Afr J Biotechnol 2011;10:386-9.

46. Rodriguez-Amaya DB. Food Carotenoids: Chemistry, Biology and Technology. United States: John Wiley and Sons; 2015. https://doi.org/10.1002/9781118864364

47. Patias LD, Fernandes AS, Petry FC, Mercadante AZ, Jacob-Lopes E, Zepka LQ. Carotenoid profile of three microalgae/cyanobacteria species with peroxyl radical scavenger capacity. Food Res Int 2017;100:260-6. https://doi.org/10.1016/j.foodres.2017.06.069

48. Elloumi W, Jebali A, Maalej A, Chamkha M, Sayadi S. Effect of mild salinity stress on the growth, fatty acid and carotenoid compositions, and biological activities of the thermal freshwater microalgae Scenedesmus sp. Biomolecules 2020;10:1515. https://doi.org/10.3390/biom10111515

Article Metrics
284 Views 106 Downloads 390 Total

Year

Month

Related Search

By author names

Similar Articles

Salinity and drought response alleviate caffeine content of young leaves of Coffea canephora var. Robusta cv. S274

Avinash Kumar,Gyanendra Kumar Naik,P. S. Simmi,Parvatam Giridhar

Comparative three way analysis of biochemical responses in cereal and millet crops under salinity stress

Ritika Bhatt, Prem Prakash Asopa, Santosh Sihag, Rakesh Sharma, Sumita Kachhwaha, S.L. Kothari

Physiological and biochemical characterization of Sesamum germplasms tolerant to NaCl

Tapaswini Hota, C. Pradhan, G. R. Rout

Evaluation of salt tolerance ability in some fig (Ficus carica L.) cultivars using tissue culture technique

Hemaid Ibrahim Ahemaidan Soliman, Mohamed R. A. Abd Alhady

Effect of different polyamines on some physiological traits, growth, and development of basil (Ocimum basilicum L.) in salt stress under hydroponic culture conditions

Khatereh Nejadasgari Chokami, Vahid Abdossi, Saeid Samavat, Alireza Ladan Moghadam, Pezhman Moradi

Bacterial endophytes from halophyte black saxaul (Haloxylon aphyllum Minkw.) and their plant growth-promoting properties

Vyacheslav Shurigin,, Begali Alikulov, Kakhramon Davranov, Zafar Ismailov

Insights into the impact of spermidine in reducing salinity stress in Gerbera jamesonii

Javeria Uzma, Sai Krishna Talla, Praveen Mamidala

Role of DREB genes in the regulation of salt stress-mediated defense responses in plants

Ashokkumar Ramakrishnan Yadav, Vaishnavi Ashokkumar, Suganthi Muthusamy, Senthilkumar Palanisamy

Plant growth regulator-mediated response under abiotic stress: A review

Shahreen Khan, Ravinder Singh, Harpreet Kaur, Ajay Kumar, Amit Vashishth, Moyad Shahwan,, Hardeep Singh Tuli

Role of zinc oxide nanoparticles in alleviating sodium chloride-induced salt stress in sweet basil (Ocimum basilicum L.)

Syed Aiman Hasan, Adnan Khan, Mohd Irfan

Amending coral soil using exopolysaccharide from salt-tolerant Bacillus velezensis TSD5 bacteria from an atoll in Vietnam

Thi Hue Le,, Duy Nhan Vu, Thi Hoai Phuong Nguyen, Mai Huong Le, Cong Tinh Nguyen, Thi Tuyen Do, Van Thang Le, Mai Phuong Pham, Dinh Duy Vu

Effects of triclosan at different salinity levels on swimming behavior, reproduction, and antioxidant status in the marine rotifer Brachionus plicatilis

Ojeshvi Ethiraj, Arjun Surya Subramanya, Abdul Raziq Raheem, Jaganathan Murugesan Kuppuswamy

Boosting maize yield and root traits with salt-tolerant plant growth-promoting rhizobacteria in the Indo-Gangetic plain: A microbial solution to soil salinity

Alok Kumar Singh,, Adarsh Kumar,, Ashish Ranjan Udgata, Parul Tyagi, Mala Trivedi, Alok Kumar Srivastava

Plant resilience under salt stress: Pathways toward agricultural sustainability

Ajar Nath Yadav