Research Article | Volume 12, Issue 2, March, 2024

Effect of foaming agents and dilution ratio on the foaming properties of Artemia franciscana biomass puree

Nguyen Ngoc Huong Anh Nguyen Thi Kim Xuyen Nguyen Hoang Thuy Quyen Nguyen Hoang Yen Vi Nguyen Huynh Anh Nguyen Minh Thuy Nguyen Van Hoa   

Open Access   

Published:  Feb 20, 2024

DOI: 10.7324/JABB.2024.160667
Abstract

This study was carried out to optimize foaming preparation conditions for Artemia biomass using the three-level Box–Behnken experimental design of Response Surface Methodology. Three independent variables, namely, water/ Artemia ratio (WAR) (2/1, 4/1 and 6/1), egg albumin (EA) (9.2, 12.2 and 15.2%), and xanthan gum (XG) concentration (0.1, 0.24 and 0.38%), together with three dependent variables characterizing the foam stability, including foam expansion volume (EV), foam density (FD), and drainage volume (DV) were optimized. Multiple regression analyses were applied to analyze the relationship between dependent variables (EV, FS, and DV) and three independent variables (WAR, EA, and XG) as indicators of foaming capacity and foam stability. In addition, simultaneous optimization of multiple responses has also been applied. The optimal combination of WAR was 4.6 (v/w), EA = 13.5%, and XG = 0.25% which gave the maximum foam expansion of 293.4%, minimum FD 0.27 g/mL, and volume drainage of at least 0.7 mL. The validated values were found to be very close to the experimental values.


Keyword:     Artemia Albumin Xanthan gum Foam properties Optimization


Citation:

Anh NNH, Xuyen NTK, Quyen NHT, Vi NHY, Anh NH, Thuy NM, Hoa NV. Effect of foaming agents and dilution ratio on the foaming properties of Artemia franciscana biomass puree. J App Biol Biotech. 2024;12(2):62-66. http://doi.org/10.7324/JABB.2024.160667

Copyright: Author(s). This is an Open Access article distributed under the terms of the Creative Commons Attribution-NonCommercial-ShareAlike license.

HTML Full Text

ARTICLE HIGHLIGHTS

This study aims to use dried Artemia biomass with high nutritional value (high protein and lipid content with essential amino acids and unsaturated fatty acids) in the development of new food products for humans. The recent method of foam drying has been noticed as an effective new technique, overcoming disadvantages related to traditional methods. The influence of additives on foaming and stabilizing foam has been evaluated in this study. Optimizing the parameters of the foaming process was also done to create the best conditions for the next foam mat drying process. The foam-mat dried Artemia biomass powder obtained from this method can be applied in spice/seasoning processing.


1. INTRODUCTION

Artemia (Artemia franciscana, family: Artemiidae) is a small crustacean that lives in salt water areas. In Vietnam, this species has been raised and grown for more than 30 years in Vinh Chau, in the Mekong Delta of Vietnam. Artemia has a short cycle-period, after 10–15 days that they can reach the adult stage and start to reproduce [1], such a short reproductive cycle the amount of Artemia biomass can be very large. Many studies have shown that Artemia biomass contains high levels of nutrients [2-5]. Research by Hoa et al. [6] announced that frozen Artemia biomass (raised in Vinh Chau, Vietnam) possesses high protein content (44.0–52.7%), lipid (6.0–13.2%), and total fatty acids (84.6–99.6 mg/g DW). The protein composition of Artemia biomass contains about 16 of 20 amino acids, especially seven of eight essential amino acids. Artemia biomass is also rich in high-chain polyunsaturated fatty acids, accounting for 52.31% of the total fatty acids, and PUFA accounting for 7.43% of the total fatty acids [7]. For a long time, Artemia biomass has predominantly been used as feed for aquatic animals. With such a high nutritional value, Artemia biomass can be evaluated as a potential raw material for use as feed for domestic animals as well as for humans [7,8]. This study aims to use the dried Artemia biomass for further seasoning powder processing, in addition to the market for seasoning powder, which is diversified from rich sources of nutrients such as pork bones, chicken, and mushrooms, and others.

One of the potential uses of A is to convert them into a dry, highly nutritious, and easy to use form. Foam mat drying has recently gained attention as a new efficient technique because it does not pose the major problems associated with traditional dehydration methods. With this method, the dispersion of air bubbles in a continuous matrix (liquid or solid) is stabilized by surfactants. Foam mat drying involves incorporating foaming agents into liquid or semi-liquid foods followed by whipping to form a stable foam [9]. The more porous the foam structure, the larger the liquid surface area which enhances the heat transfer and drying rate, resulting in higher nutritional and sensory quality of the dried foam product [10]. Foam-mat dried Artemia powder can be used to produce soup seasoning powder, diversifying this product group alongside other types of chicken, meat, and mushroom seasonings currently on the market. In addition, foaming of Artemia puree could be optimized by response surface methodology (RSM) to give optimum conditions such as the highest expansion volume (EV) and the lowest foam density (FD) and drainage. RSM has been extensively utilized to optimize several parameters in the extraction process [10,11]. It provides the interactive effects between variables and reduces the required numbers of experimental runs which are used to evaluate multiple parameters and their interactions. The effects of water/shrimp ratio and xanthan gum (XG) concentration on characteristics of shrimp foam were investigated by Azizpour et al. [12]. Study on the utilization of Artemia biomass in combination with dried vegetables to produce rice-seasoning or furikake product was conducted by Thuy et al. [13]. The development of a variety of new products from Artemia for humans is also a matter of concern, both to help diversify food sources for people and increase income for farmers. The objective of this study was to determine and optimize the parameters for the foaming process. Optimal parameters of the WAR, EA, and XG concentration were selected to maximize EV while minimizing FD and DV from the foam mass, preparing the best foam characteristics for the next foam-mat drying study.


2. MATERIALS AND METHODS

2.1. Materials

Fresh Artemia biomass was reared at the Vinh Chau experimental farm of Can Tho University, Vietnam. From 18 to 20 days after stocking, Artemia biomass was harvested. Egg albumin (EA) (India) and XG (Bob’s Red Mill, USA) were used.

2.2. Preparation of the Artemia Puree and Foam

The Artemia biomass were cleaned and then frozen at −10°C. Before starting each experiment, the samples were thawed at 3–5°C for 12 h. Thawed samples were steamed for 5 min to destroy microorganisms or enzymes. Next, the samples were cooled at ambient temperature about 10 min and was used for our experiments. To prepare the foam samples, the concentrations of EA (9.2–15.2%), XG (0.1–0.38%), and the WAR (2/1–6/1) were transferred to a 250 mL beaker, the mixture was mechanically whipped (Philips HR3705 300 W) at the highest speed for 6 min, fixing the batch volume at 100 mL. During whipping, the foam was developed by incorporating air in it to increase the surface area, which expanded in volume (according to the optimization conditions obtained in the previous study by Thuy et al. [10]). At the end of each treatment, the mixture was evaluated on the foam properties, including foam EV, FD, and volume drainage.

2.3. Optimization Process

The ranges and levels of variables investigated in the research are tabulated in Table 1. Three independent variables were studied namely EA (X1), XG (X2), and WAR (X3). RSM was utilized to determine the numbers of experimental runs required for the Box–Behnken experimental design that produces reliable measurement of the response. The optimization was conducted for multiple responses of extraction yield (EV = Y1, FD = Y2, and volume drainage Y3). Table 2 exhibits that the total of 18 runs were required for three variables employed in this experiment. The experimental plan based on Box–Behnken design consisting of six center points.

Table 1: Independent variables with range and factor level.

SymbolFactorsUnitRange and levels
-101
X1EA%9.212.215.2
X2XG%0.10.240.38
X3WARv/w2/14/16/1

EA: Egg albumin, XG: Xanthan gum, WAR: Water/Artemia ratio.

Table 2: Design of experiment of three variables.

No.EA (%)XG (%)WAR (v/w)No.EA (%)XG (%)WAR (v/w)
1.12.20.244912.20.386
2.15.20.246109.20.14
3.15.20.2421115.20.384
4.12.20.244129.20.384
5.12.20.244139.20.242
6.12.20.2441412.20.244
7.12.20.244159.20.246
8.12.20.161612.20.12

EA: Egg albumin, XG: Xanthan gum, WAR: Water/Artemia ratio.

RSM (using Statgraphics Centurion XV software) was applied to determine the optimal conditions for the foaming process from Artemia puree. A full second order reaction model (equation 1) was established.

Where: Y: Predicted responses (EV, FD, and volume drainage); βo: Intercept coefficient; β1, β2, β3: Linear terms; β11, β22, β33: Quadratic terms; β12, β13, and β23: Interaction terms and X1, X2, and X3: Uncoded independent variables.

2.4. Analysis of Foam Properties

FD was determined by the method described by Abd Karim and Wai [14] (equation 2).

EV was analyzed to represent the amount of air introduced into the water during foaming and measured as a percentage increase in water volume, calculated using equation 3 [15].

Where Vo is initial volume (mL) and V1 is final volume (mL).

Drainage volume (DV) was measured based on a method defined by Narender Raju and Pal [16]. 100 g of foam was poured into a Buchner filter (diameter 80 mm) and placed in a 100 mL cylinder. Volume of liquid released from the foam in 120 min, then uses a 5 mL pipette or a 100 mL measuring cylinder to determine the drain volume.


3. RESULTS AND DISCUSSIONS

3.1. Effect of EA, XG, and Water/Artemia Ratio (WAR) on FD

One of the most difficult problems in foaming in preparation for drying is the stability of the foam during foaming and drying. If the foam is not stable, the porous structure will collapse, resulting in a deterioration in product quality after drying. Foaming ability can be assessed by the FD index, lower FD also means that more air is trapped in the foam [11,17]. The lower the FD, the more the foam expands and helps to transfer heat better for the subsequent drying process. All variables (EA, XG, and WAR) had a significant effect on FD. The values obtained ranged from 0.263 to 0.415 g/mL. Multiple range tests for FD by EA, XG, and WAR were performed. FD values were significantly reduced using EA from 9.2% (0.38 g/mL) to 12.2% (0.30 g/mL) and were not significantly different when increasing this concentration to 15.2% (0.31 g/mL). The low concentration of EA makes the bubble unstable because it cannot form the critical thickness required for the foam film. However, when the concentration of EA increases too much, it also reduces the overall foaming ability, possibly because the viscosity of the solution increases as the protein content increases, so it does not create favorable conditions for large gas escapes. Large amounts of gas are incorporated at the interface [18]. An increase in XG (0.1–0.38%) led to an increase in FD (values ranged from 0.31 to 0.34 g/mL). Azizpour et al. [12] reported that FD increased significantly with increasing concentration of XG, probably due to an increase in the thickness of the mixture. The high viscosity liquid phase will prevent air trapping during whipping or mechanical mixing. Salahi et al. [19] reported that when albumin and XG were added to cantaloupe pulp for foaming, an increase in albumin concentration from 1% to 3% resulted in a significant decrease in FD, while FD increased with increasing XG content from 0.05% to 0.2%. The increase in the ratio of water/Artemia caused the FD to decrease significantly, when the WAR changed from 2/1 to 4/1, the FD value decreased from 0.36 to 0.30 g/mL and could not be showed a significant difference between the 4/1 and 6/1 ratios. That may be because increasing dilution during foaming reduces the viscosity of the Artemia mixture and thus the FD decreased. The ANOVA table [Table 3] partitions the variability in FD into separate pieces for each of the effects, it then tests the statistical significance of each effect by comparing the mean square against an estimate of the experimental error. The results show that most of the independent variables, their first and second order interactions have a significant effect on FD. Specifically in this case, eight effects have P < 0.05, showing that they are statistical significance at the 95.0% confidence level, only the X1X3 interaction has no significant effect on FD.

Table 3: Analysis of variance for FD.

SourceSum of squaresDfMean squareF-ratioP-value
X10.029810.0298182.920.0000
X20.000910.00095.650.0222
X30.005810.005835.680.0000
X1X10.02210.022137.690.0000
X1X20.00310.00318.230.0001
X1X30.0000210.000020.130.7252
X2X20.003210.003219.470.0001
X2X30.003710.003722.900.0000
X3X30.012610.012677.560.0000
Lack-of-fit0.000430.00040.790.5079
Pure error0.0067410.0067

R2=91.62%; R2 adj=91.11%; Standard Error of Est. = 0.0128, X1: Egg albumin; X2: Xanthan gum; X3: WAR: Water/Artemia ratio. FD: Foam density.

The equation of the fitted model is presented in equation 4, where the values of variables are specified in their original units. Since P-value for lack-of-fit is >0.05 (P = 0.65), the model appears to be adequate for the observed data at the 95.0% confidence level.

Where Y1 is FD (mg/L), X1 is EA concentration (%), X2 is XG (%), and X3 is WAR (v/w) (R2 = 92.6%; R2 adj. = 91.28%; SEE = 0.013)

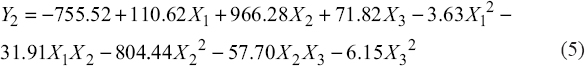
3.2. Effect of EA, XG, and WAR on EV

The amount of air integrated into the Artemia puree during foaming was measured using the foam EV. The analysis of variance (ANOVA) results showed that eight effects have P < 0.05 (data are not fully presented here), indicating that they are significant different from zero at the 95.0% confidence level. It was observed that double interaction (X1 X3) did not affect the foam EV. This pane shows the regression equation that has been matched to the data, where the values of the variables are specified in their original units. The equation 5 of the fitted model is:

Where Y2 is EV (%), X1 is EA concentration (%), X2 is XG (%), X3 is WAR (v/w) (R2 = 92.99%; Adjusted R2 = 91.74%, SEE = 12.05)

Similar to FD, all three variables had significant influence on foam EV. The minimum and maximum analyzed EV values are 156.63 and 310.03%, respectively, at different levels of EA, XG, and WAR. The EV values were significantly increased from 183.12% to 262.8% in increasing of EA concentration from 9.2% to 12.2% and were not significantly different (269.27%) when increasing this concentration to 15.2% (269.03%). Foaming ability and foam stability are important functions of EA. Foam is a colloidal system consisting of small air bubbles that propagate in a continuous aqueous phase. The protein in EA acts as an amphoteric emulsifier between the air and water phases, resulting in good foam stability [20]. At the amount of XG was increased from 0.1% to 0.24%, the EV values increased from 240.14% to 258.34%. However, when increasing XG up to 0.38%, the EV value decreased (228.94%). Increasing the XG concentration affects the increase in the viscosity of the continuous phase. In addition, XG aids in the formation of durable films and stabilizes the interfacial films. However, when it is increased too much, the EV decreases. This is probably because when the viscosity of the mixture increases, the incorporation of air decreases, leading to a decrease in foam expansion and an increase in FD [21]. High viscosity liquids prevent air from being trapped during whipping or mechanical mixing. Similar trends were also reported for bael fruit pulp [22]. Increasing the ratio of water to raw material significantly increased the EV, when the WAR changed from 2/1 to 4/1, the EV value increased from 212.57% to 247.68% and showed no significant difference between the ratio 4/1 and 6/1 (59.57%). As explained above, it is possible that increasing dilution during foaming reduces the viscosity of the Artemia mixture and hence FD decreases and EV increases.

3.3. Effect of EA, XG, and WAR on DV

Drainage or liquid phase from the foam is measured as the factor that destabilizes the foam. Therefore, measuring DV is also one of the better methods to determine its stability. The measured DV values ranged from 0.2 to 7 mL. WAR and XG had significant effect on the DV (at 5% level of significance). It was observed that with higher ratios of WAR exhibited greater drainage. This is due to the increase of dilution rate and decrease of solid content of the mixture. In addition, increasing the XG concentration reduced the DV of Artemia foams (increased the stability). Pasban et al. [23] determined that XG at 0.3% gave good foam stability. Muthukumaran [24] also reported a strong effect of XG as a stabilizer. Some previous studies have also reported similar results [9,20,25,26]. In this study, XG and WARs affect DV clearly than EA, ANOVA for DV was performed. In this case, seven effects have P < 0.05 (data are not fully presented here), indicating that they are significantly different at the 95.0% confidence level. The interaction of X1 and X1X2 is not significant (P > 0.05), so these interactions are omitted from the equation, the equation 6 of the fitted model is:

Where Y3 is DV (%), X1 is EA concentration (%), X2 is XG (%), and X3 is WAR (v/w) (R2 = 88.96%; Adjusted R2 = 87.29%, SEE = 0.68).

Since P-value for lack-of-fit in the ANOVA table is >0.05 (P-value of Lack-of-fit = 0.64), the model appears to be adequate for the observed data at the 95.0% confidence level.

3.4. Multiple Response Optimization

Optimizing multiple responses is more useful when it is necessary to evaluate the impact of multiple variables on responses. The numerical optimization results show that the desired maximum (0.91) can be achieved using the optimal concentrations of EA, XG, and WAR of 13.5%, 0.5% and 4.6:1. At these maximum levels, the predictive values of responses such as FD, EV and DV are 0.7 g/mL, 293.4%, and 0.27 mL, respectively, shown in asterisk (*) on Figure 1.

Figure 1: Overlay plot of foam density, foam expansion volume, and drainage volume at different levels of input variables.



[Click here to view]

The validity of the model has also been confirmed through the experimental performance at the optimal level of the independent variables. The validation results gave the experimental values almost good agreement with the response values predicted from the selected models [Table 4]. In addition, the test data on the responses obtained at the optimum level have also shown that the foam has good properties and is ready for the next stage of drying.

Table 4: Predicted and experimented value of responses from optimal conditions.

Response variablesPredicted valuesExperimental values
FD (g/mL)0.270.28±0.01*
Foam EV (%)293.4284.5±7.1
DV (mL)0.70.7±0.01

* Mean±STD. EA: Egg albumin, XG: Xanthan gum, WAR: Water/Artemia ratio.


4. CONCLUSIONS

In this work, the influence of foaming and stabilizing agents was examined. It was found that FD and EV were affected by all three independent variables (EA, XG, and WAR); however, DV was influenced mainly by XG and WAR. The optimum values of EA, XG, and WAR were found for the optimal foaming process to achieve the maximum value of EV, minimum of FD, and DV. Foamed Artemia biomass can be dried and effective seasoning substitute in food products such as soup or snacks with a beneficial increase in protein content and nutritional value.


5. ACKNOWLEDGMENTS

The authors would like to thank Can Tho University for providing financial support.


6. AUTHORS’ CONTRIBUTIONS

All authors made substantial contributions to conception and design, acquisition of data, or analysis and interpretation of data; took part in drafting the article or revising it critically for important intellectual content; agreed to submit to the current journal; gave final approval of the version to be published; and agreed to be accountable for all aspects of the work. All the authors are eligible to be an author as per the International Committee of Medical Journal Editors (ICMJE) requirements/guidelines.


7. FUNDING

This study is funded in part by the Can Tho University, Code: THS2023-124.


8. CONFLICTS OF INTEREST

The authors report no financial or any other conflicts of interest in this work.


9. ETHICAL APPROVALS

This study does not involve experiments on animals or human subjects.


10. DATA AVAILABILITY

All data generated and analyzed are included within this research article.


11. PUBLISHER’S NOTE

This journal remains neutral with regard to jurisdictional claims in published institutional affiliation.

REFERENCES

1.  Le TH, Hoa NV, Sorgeloos P, Van Stappen G. Artemia feeds: A review of brine shrimp production in the Mekong Delta, Vietnam. Rev Aquac 2019;11:1169-75. [https://doi.org/10.1111/raq.12285]

2.  Olsen AI, Attramadal Y, Jensen A, Olsen Y. Influence of size and nutritional value of Artemia franciscana on growth and quality of halibut larvae (Hippoglossus hippoglossus) during the live feed period. Aquaculture 1999;179:475-87. [https://doi.org/10.1016/S0044-8486(99)00181-7]

3.  Treece GD. Artemia Production for Marine Larval Fish Culture. Vol. 702. Stoneville, Mississippi: Southern Regional Aquaculture Center;2000.

4.  Sorgeloos P, Dhert P, Candreva P. Use of the brine shrimp, Artemia spp., in marine fish larviculture. Aquaculture 2001;200:147-59. [https://doi.org/10.1016/S0044-8486(01)00698-6]

5.  Lim LC, Soh A, Dhert P, Sorgeloos P. Production and application of on grown-Artemia in fresh water ornamental fish farm. Aquac Econ Manag 2001;5:211-28. [https://doi.org/10.1080/13657300109380288]

6.  Hoa NV, Van NT, Anh NT, Ngan PT, Toi HT, Le TH. Artemia-Research and Application in Aquaculture. Technical Book. Vietnam:Can Tho University;2007.

7.  Hien PT, Bao HN. Evaluation basic nutritional composition of Artemia franciscana biomass. J Fish Sci Technol 2014;2:21-5.

8.  Léger P, Bengtson DA, Simpson KL, Sorgeloos P. The use and nutritional value of Artemia as a food source. Oceanogr Mar Biol Ann Rev 1986;24:521-623.

9.  Falade KO, Adeyanju KI, Uzo-Peters PI. Foam-mat drying of cowpea (Vigna unguiculata) using glyceryl monostearate and egg albumin as foaming agents. Eur Food Res Technol 2003;217:486-91. [https://doi.org/10.1007/s00217-003-0775-3]

10.  Thuy NM, Tien VQ, Tai NV, Minh VQ. Effect of foaming conditions on foam properties and drying behavior of powder from magenta (Peristropheroxburghiana) leaves extracts. Horticulturae 2022a;8:546. [https://doi.org/10.3390/horticulturae8060546]

11.  Thuy NM, Tien VQ, Tuyen NN, Giau TN, Minh VQ, Tai NV. Optimization of mulberry extract foam-mat drying process parameters. Molecules 2022b;27:8570. [https://doi.org/10.3390/molecules27238570]

12.  Azizpour M, Mohebbi M, Khodaparast MH, Varidi M. Foam-mat drying of shrimp:Characterization and drying kinetics of foam. Agric Eng Int CIGR J 2013;15:159-65.

13.  Thuy LT, Trinh MT, Thom NV, Hoa NV. Production of rice-seasoning product from Artemia biomass (Artemia franciscana) in combination with dried vegetables. Sci J Can Tho Univ 2022;58:157-65.

14.  Karim AA, Wai CC. Foam-mat drying of starfruit (Averrhoa carambola L.) puree. Stability and air drying characteristics. Food Chem 1999;64:337-43. [https://doi.org/10.1016/S0308-8146(98)00119-8]

15.  Durian DJ, Weitz DA. Encyclopedia of Chemical Technology. Grant MH, editor. New York:Wiley;1994. 783.

16.  Narender Raju P, Pal D. The physico-chemical, sensory, and textural properties of Misti Dahiprepared from reduced fat Buffalo milk. Food Bioprocess Technol 2009;2:101-8. [https://doi.org/10.1007/s11947-008-0137-z]

17.  Kandasamy P, Varadharaju N, Kalemullah S, Maladhi D. Optimization of process parameters for foam-mat drying of papaya pulp. J Food Sci Technol 2014;51:2526-34. [https://doi.org/10.1007/s13197-012-0812-y]

18.  Lau CK, Dickinson E. Instability and structural change in an aerated system containing egg albumen and invert sugar. Food Hydrocoll 2005;19:111-21. [https://doi.org/10.1016/j.foodhyd.2004.04.020]

19.  Salahi MR, Mohebbi M, Taghizadeh M. Foam-mat drying of cantaloupe (Cucumis melo):Optimization of foaming parameters and investigating drying characteristics. J Food Process Preserv 2015;39:1798-808. [https://doi.org/10.1111/jfpp.12414]

20.  Mleko S, Kristinsson HG, Liang Y, Gustaw W. Rheological properties of foams generated from egg albumin after pH treatment. LWT-Food Sci Technol 2007;40:908-14. [https://doi.org/10.1016/j.lwt.2006.04.007]

21.  Azizpour M, Mohebbi M, Khodaparast MH, Varidi M. Optimization of foaming parameters and investigating the effects of drying temperature on the foam-mat drying of shrimp (Penaeus indicus). Dry Technol 2014;32:374-84. [https://doi.org/10.1080/07373937.2013.794829]

22.  Bag SK, Srivastav PP, Mishra HN. Optimization of process parameters for foaming of bael (Aegle marmelosL.) Fruit pulp. Food Bioprocess Technol 2011;4:1450-8. [https://doi.org/10.1007/s11947-009-0243-6]

23.  Pasban A, Mohebbi M, Pourazarang H, Varidi M. Effects of endemic hydrocolloids and xanthan gum on foaming properties of white button mushroom puree studied by cluster analysis:A comparative study. J Taibah Univ Sci 2014;8:31-8. [https://doi.org/10.1016/j.jtusci.2013.09.004]

24.  Muthukumaran A. Foam-Mat Freeze Drying of Egg White and Mathematical Modeling;2007(Master Thesis). [https://doi.org/10.1080/07373930801929615]

25.  Pernell CW, Foegeding EA, Luck PJ, Davis JP. Properties of whey and egg white protein foams. Colloids Surf A Physicochem Eng Asp 2002;204:9-21. [https://doi.org/10.1016/S0927-7757(01)01061-5]

26.  Kampf N, Gonzalez MC, Corradini MG, Peleg M. Effect of two gums on the development, rheological properties and stability of egg albumen foams. Rheol Acta 2003;42:259-68. [https://doi.org/10.1007/s00397-002-0281-8]

Reference

1. Le TH, Hoa NV, Sorgeloos P, Van Stappen G. Artemia feeds: A review of brine shrimp production in the Mekong Delta, Vietnam. Rev Aquac 2019;11:1169-75. https://doi.org/10.1111/raq.12285

2. Olsen AI, Attramadal Y, Jensen A, Olsen Y. Influence of size and nutritional value of Artemia franciscana on growth and quality of halibut larvae (Hippoglossus hippoglossus) during the live feed period. Aquaculture 1999;179:475-87. https://doi.org/10.1016/S0044-8486(99)00181-7

3. Treece GD. Artemia Production for Marine Larval Fish Culture. Vol. 702. Stoneville, Mississippi: Southern Regional Aquaculture Center; 2000.

4. Sorgeloos P, Dhert P, Candreva P. Use of the brine shrimp, Artemia spp., in marine fish larviculture. Aquaculture 2001;200:147-59. https://doi.org/10.1016/S0044-8486(01)00698-6

5. Lim LC, Soh A, Dhert P, Sorgeloos P. Production and application of on grown-Artemia in fresh water ornamental fish farm. Aquac Econ Manag 2001;5:211-28. https://doi.org/10.1080/13657300109380288

6. Hoa NV, Van NT, Anh NT, Ngan PT, Toi HT, Le TH. Artemia-Research and Application in Aquaculture. Technical Book. Vietnam: Can Tho University; 2007.

7. Hien PT, Bao HN. Evaluation basic nutritional composition of Artemia franciscana biomass. J Fish Sci Technol 2014;2:21-5.

8. Léger P, Bengtson DA, Simpson KL, Sorgeloos P. The use and nutritional value of Artemia as a food source. Oceanogr Mar Biol Ann Rev 1986;24:521-623.

9. Falade KO, Adeyanju KI, Uzo-Peters PI. Foam-mat drying of cowpea (Vigna unguiculata) using glyceryl monostearate and egg albumin as foaming agents. Eur Food Res Technol 2003;217:486-91. https://doi.org/10.1007/s00217-003-0775-3

10. Thuy NM, Tien VQ, Tai NV, Minh VQ. Effect of foaming conditions on foam properties and drying behavior of powder from magenta (Peristropheroxburghiana) leaves extracts. Horticulturae 2022a;8:546. https://doi.org/10.3390/horticulturae8060546

11. Thuy NM, Tien VQ, Tuyen NN, Giau TN, Minh VQ, Tai NV. Optimization of mulberry extract foam-mat drying process parameters. Molecules 2022b;27:8570. https://doi.org/10.3390/molecules27238570

12. Azizpour M, Mohebbi M, Khodaparast MH, Varidi M. Foam-mat drying of shrimp: Characterization and drying kinetics of foam. Agric Eng Int CIGR J 2013;15:159-65.

13. Thuy LT, Trinh MT, Thom NV, Hoa NV. Production of rice-seasoning product from Artemia biomass (Artemia franciscana) in combination with dried vegetables. Sci J Can Tho Univ 2022;58:157-65.

14. Karim AA, Wai CC. Foam-mat drying of starfruit (Averrhoa carambola L.) puree. Stability and air drying characteristics. Food Chem 1999;64:337-43. https://doi.org/10.1016/S0308-8146(98)00119-8

15. Durian DJ, Weitz DA. Encyclopedia of Chemical Technology. Grant MH, editor. New York: Wiley; 1994. p. 783.

16. Narender Raju P, Pal D. The physico-chemical, sensory, and textural properties of Misti Dahi prepared from reduced fat Buffalo milk. Food Bioprocess Technol 2009;2:101-8. https://doi.org/10.1007/s11947-008-0137-z

17. Kandasamy P, Varadharaju N, Kalemullah S, Maladhi D. Optimization of process parameters for foam-mat drying of papaya pulp. J Food Sci Technol 2014;51:2526-34. https://doi.org/10.1007/s13197-012-0812-y

18. Lau CK, Dickinson E. Instability and structural change in an aerated system containing egg albumen and invert sugar. Food Hydrocoll 2005;19:111-21. https://doi.org/10.1016/j.foodhyd.2004.04.020

19. Salahi MR, Mohebbi M, Taghizadeh M. Foam-mat drying of cantaloupe (Cucumis melo): Optimization of foaming parameters and investigating drying characteristics. J Food Process Preserv 2015;39:1798-808. https://doi.org/10.1111/jfpp.12414

20. Mleko S, Kristinsson HG, Liang Y, Gustaw W. Rheological properties of foams generated from egg albumin after pH treatment. LWT-Food Sci Technol 2007;40:908-14. https://doi.org/10.1016/j.lwt.2006.04.007

21. Azizpour M, Mohebbi M, Khodaparast MH, Varidi M. Optimization of foaming parameters and investigating the effects of drying temperature on the foam-mat drying of shrimp (Penaeus indicus). Dry Technol 2014;32:374-84. https://doi.org/10.1080/07373937.2013.794829

22. Bag SK, Srivastav PP, Mishra HN. Optimization of process parameters for foaming of bael (Aegle marmelos L.) Fruit pulp. Food Bioprocess Technol 2011;4:1450-8. https://doi.org/10.1007/s11947-009-0243-6

23. Pasban A, Mohebbi M, Pourazarang H, Varidi M. Effects of endemic hydrocolloids and xanthan gum on foaming properties of white button mushroom puree studied by cluster analysis: A comparative study. J Taibah Univ Sci 2014;8:31-8. https://doi.org/10.1016/j.jtusci.2013.09.004

24. Muthukumaran A. Foam-Mat Freeze Drying of Egg White and Mathematical Modeling; 2007(Master Thesis). https://doi.org/10.1080/07373930801929615

25. Pernell CW, Foegeding EA, Luck PJ, Davis JP. Properties of whey and egg white protein foams. Colloids Surf A Physicochem Eng Asp 2002;204:9-21. https://doi.org/10.1016/S0927-7757(01)01061-5

26. Kampf N, Gonzalez MC, Corradini MG, Peleg M. Effect of two gums on the development, rheological properties and stability of egg albumen foams. Rheol Acta 2003;42:259-68. https://doi.org/10.1007/s00397-002-0281-8

Article Metrics
498 Views 183 Downloads 681 Total

Year

Month

Related Search

By author names